Location: Home >> Detail
TOTAL VIEWS
J Sustain Res. 2024;6(2):e240015. https://doi.org/10.20900/jsr20240015
1 Department of Architecture and Design (DAD), Polytechnic of Turin, Turin 10126, Italy
2 Architect, Reggio Emilia 42121, Italy
* Correspondence: Cristina Coscia.
This research starts from the results of the “Cultural Heritage Counts for Europe” (CHCfE) project, which highlights the need to apply the holistic approach when measuring the impact of Cultural Heritage making it an active part of sustainable development. In this research, CHCfE was scaled on and adapted to the Italian case of the Imperial Fora in Rome, in order to create a tool to manage a complex archaeological area in an urban context: the simulation dates back to 2017 but does not seem to be outdated. The Italian case lays the foundations for a debate on good practice in line with the milestones incorporated into the repository of the recent SoPHIA platform. The experimentation has developed a new method—the HACHI Method (the Holistic Approach to the Cultural Heritage Impact Method)—which is still fully aligned with these principles and is partof the current debate, with strong elements of innovation: it is our intention to illustrate the key elements of this method, enphasising its potential for other contexts.
HACHI, Holistic Approach to the Cultural Heritage Impact Method; CHCfE, Cultural Heritage Counts for Europe; CArMe, Monumental Archaeological Centre of Rome; SoPHIA, Social Platform for Holistic Impact Heritage Assessment; FAI, Fondo Ambiente Italiano; FITEL, Federazione italiana del tempo libero
The declaration of the World Commission on the Environment and Development (the “Brundtland Commission”) and subsequent clarifications are known [1–3]: they emphasise the currently acknowledged principles of sustainable development, particularly those of satisfying the needs of both current and future generations, according to a generational pact that looks at aspects of the quality of present and future life. Recently, the Universal Declaration on Cultural Diversity endorsed by UNESCO [4] and Gražulevičiūtė [5], and the platform assessment of the Horizon2020 programme [6] consolidate the concept: Cultural Heritage can contribute to the well-being and quality of life of communities, help mitigate the impacts of cultural globalisation and become an incentive for sustainable economic development [7–9]. As mentioned by Ashworth in Cultural Heritage Counts for Europe (CHCfE, see [8]), researchers have recently been focusing on Cultural Heritage “as a wide and diversified array of past events, personalities, folk memories, mythology, literary associations, physical relics of the past, and places to which they can be symbolically linked” (p. 3,35,40). The recent scientific debate has addressed new emerging and recurring themes: the new paradigm of development from a humanistic and ecological point of view [10–13] and the interrelationship between Cultural Heritage, economic development, identity, and intangible values.
Cultural heritage and development as processes which aimed at well-being become “dynamic nature, which is recreated by people and their surrounding environment and which varies over time” [14]. In particular, the topics cited were the core research of the “Cultural Heritage Counts for Europe” project (CHCfE), triggering the reflections and experimentation that we want to illustrate here. Despite having been presented in 2016 [15], the Project, the Methodology and the Results do not seem to be outdated and have laid the foundations for a debate and an exchange of good practice in line with the milestones incorporated into the repository of the recent SoPHIA platform—Social Platform for Holistic Impact Heritage Assessment (https://sophiaplatform.eu/). Indeed, the SoPHIA project seeks to propose a holistic impact assessment model for historical, environmental, and cultural heritage sites in Europe [6]. It represents a new approach to cultural heritage impact assessments based on three axes: (1) People (the multi-stakeholders perspective), (2) Domains (an inter-dimensional view that considers the positive and negative externalities that occur within and between the four domains—social, economic, environmental and cultural), (3) Time (a longitudinal perspective, which considers the ex-ante, ex-post impact assessment). The results and the debate published on the platform have promoted collective reflection within Europe’s cultural and political sector on the impact assessment and quality of interventions in the European historical environment and on cultural heritage at urban level, according to the Horizon 2020—Work Programme 2018–2020 [16].
The experimentation on the case of the Imperial Fora is fully and still aligned with these principles and is part of the current debate, since the single-phase open procedure competition in IT apply modality was announced by Roma Capitale and the Capitoline Superintendence on 4 October 2023: the goal objective is the acquisition of a project with a level of detail equal to that of a technical and economic feasibility project for the creation of “The new archaeological walk”.
The milestones are: to restore the integral understanding of the Forums, to open the promenade to the city and to enhance the multiple values of the landscape.
The competition, which is part of the broader programme for the transformation of the Monumental Archaeological Centre of Rome (CArMe), constitutes a subset of the first phase of the Operational Program me, which will use the funds allocated for the Jubilee. The estimated cost of the work is 10,605,000 euros plus VAT, including safety costs.
The discussion on the Imperial Fora is still open and is still strongly significant relevance.
Until 2017 it lacked a unitary strategic plan that covered the needs of the viability of those who live in the city, an understanding of the place and historical research. This is the reason why Roma Capitale and the Capitoline Superintendence had launched a competition for the creation of “The New Archaeological Walk”.
This paper proposes the application in 2017 of the Holistic Method revised with the HACHI method, through the indicator-based impact assessment, suggested and tested by the CHCfE report, as illustrated in Case Study: Imperial Fora in Rome (Italy) and learned by one of the authors (Irene Aterelli) during an Erasmus Internship in KU Leuven, (Belgium).
In this research—conducted after the COVID-19 emergency—the HACHI Method has been applied to the requalification and use of the Imperial Fora in Rome. The first cognitive approach to the case was taken during the first workshop of a Master’s Degree in Accademia Adrianea, subsequently incorporated into a master’s thesis [17].
Roma Tre University collaborated in this workshop, leading the working team in the study of the CArMe and the architectural proposal. The most significant issues were: (1) The breakdown of the urban fabric near the Monti district, (2) the lack of enhancement of the archaeological ruins, (3) the lack of spatial integration between the archaeological and street levels.
Theoretical and Methodological BackgroundIn 2014, the Cultural Heritage and the Heritage Community were recognised by the Council of European Ministers “as a strategic resource for sustainable Europe” [18–21]. Emphasis as an active component for sustainable development was addressed in the Strategic Project CHCfE, beneficiary of an EU grant, on the initiative of a consortium of six partners: Europe Nostra, ENCATC, Heritage Europe, International Cultural Centre, Krakow (ICC), Raymond Lemaire International Centre for Conservation at KU Leuven (RLICC) and the Heritage Alliance (UK).
The CHCfE project stressed a multidimensional matrix for measuring the impact of Cultural Heritage: a four-dimensional approach with four defined domains (economic, cultural, social and environmental) [9]. The origins of this statement lie in the conclusions of the UNESCO Congress 2013 [22]: culture is the fourth pillar towards sustainable development, along with economy, society and ecology.
Stakeholders in the cultural sector are urged to include culture in strategies for social growth and development. It is therefore essential that a holistic approach be applied to cultural heritage impact assessment methods that encompass and link all four domains/sets. The CHCfE Project highlights the lack of research that adopts the holistic approach in impact analysis related to Cultural Heritage: until 2019, only 8% of impact research related to cultural heritage used a holistic approach [9]. Recently, this debate has generated the SoPHIA Project and its platform, as referred to in the Introduction, among others.
Starting from this solicitation, between March and December 2017, before the COVID 19 pandemic, the authors experimented with the holistic approach using the indicator-based impact assessment method presented in the CHCfE report “Annex” and published in the Heritage Counts volume [15], with a specific focus on integrated cultural heritage.
This paper aims to present the experimentation of the CHCfE holistic method on the case of the Imperial Fora in Rome: it is about reconnecting urban regeneration with the protection of memory, with a view to sustainable fruition and tourism.
The challenge is posed by the complexity and significance of the case study, as it requires the prioritisation of one of two equally important but contrasting interventions: one is the conservation and enhancement of the ruins, while the other is the redevelopment of the Monti district, overwhelmed by archaeological excavations. The proposed framework allows the versatile and specific use of the case and represents an interdisciplinary tool. In this case, from the definition of the research questions, we tried to adopt a holistic approach and impact analysis for Cultural Heritage in the whole research process, incorporating the competitive and multidisciplinary framework. Please see to Material and Methods for the focus on the cultural background of Holistic Approach.
Aims of the Study and Research QuestionsA multi-attribute approach aims to support heritage management. Despite having been tested in 2017, the critical reworking of the Holistic method in the HACHI Method (2017) is proposed, again with a holistic approach, to structure the impact assessment in the field of Cultural Heritage based on multidimensional indicators, a theme which remains strongly current. In this research, the HACHI Method, applied to the case of Imperial Fora in Rome, one of the most famous archaeological areas in the world looks at two research questions closely linked to decision-making processes for urban transformation policies: (1) how can the archaeological site of the Imperial Fora be made accessible? (2) which are the proper approach and assessment/dashboard indicators to measure the impact of the archaeological area upon itself and its context, after the requalification interventions?
The results of this research aim to develop the themes on which to build the impact analysis. These themes will be identified not only by the authors' evaluation but mainly by the outcome of stakeholder interviews and, later, the qualitative data gathered will be transformed into quantitative data to support the decision-making process.
The aim of this research is to provide a concrete tool to interpret and manage the archaeological area of the Imperial Fora, debate upon which dates back to the first archaeological excavation (1812). The need for this tool is of the utmost importance and, on 4 October 2023, Roma Capitale and the Capitoline Superintendence announced a competition to obtain a project for the creation of “The new archaeological walk” (Case Study: Imperial Fora in Rome (Italy)).
The paper is articulated in the following sections: Introduction opens with reflections that focus on the issue of Cultural Heritage as the fourth dimension of sustainable development. In initial part of Material and Methods, the authors present an overview of the debate on development and its relationship with Cultural Heritage. In particular, the structure of domains present in literature has been furthered and reviewd thanks to the holistic approach, which emphasises the Cultural Heritage impact assessment through indicators that can grasp its complexity. In Case of Study it is describes the peculiarities of the case study, its significance and elements of originality and novelty; Methods provides details of the case study and the decision-making process; in last part of Methods we outline the research design, paying attention to the process and to the stakeholders involved; in Results there is a presentation of the main results; Discussion and Conclusions offer suggestions on future steps for research.
The reference background for the experimentation starts from the ongoing debate on the tangible and intangible components of Cultural Heritage [23–25], on the value components put into play in the fruition processes [26,27] and on the enhancement strategies which have also been incorporated into sustainable development policies (e.g., strategies to support cultural heritage and the development of tourism). It represents the theoretical core of the application to the case study of the Imperial Fora in Rome, which is the basis of the application of the Holistic Method, experimented in an innovative way in order to incorporate multidimensional complexity.
The authors of the previously mentioned CHCfE project (see Introduction) have highlighted and tested the fact that it is not sufficient to consider the four known pillars indicated by UNESCO in 2013 separately in the Cultural Heritage impact measurement methods, especially those aimed at supporting the choices made with regard to interventions in decision-making processes. See Figure 1.
It is strategic to examine every possible relationship between them, so that Cultural Heritage can be an active part of sustainable development.
Starting from these principles and from the results of the application of the Holistic Method to on the case study of Mechelen [15], described in the CHCfE report “Annex”, the research involved an initial comparison and subsequent reworking of the Holistic Method of Mechelen, as summarized in Figure 2: for the Imperial Fora the process and phases of the Holistic Method have been re-interpreted in the new HACHI Model-Holistic Approach to the Cultural Heritage Impact Method, structured by Cristina Coscia, Irene Aterelli.
To better understand the methodology, in Figure 2 the Authors compare the phases of the holistic approach used in the Mechelen case with that reinterpreted for the Imperial Fora (the phases and outcomes in Methods). To be more specific the comparison is about how the ChCFE method has been applied and revised from the four domains, considering the CHCfE results.
The methodology and research projects conducted by Professor Koeanraad Van Balen [15] constitute the main references for the holistic method. The case study, presented in the CHCfE project, entitled “The impact of immovable heritage in the city of Mechelen” [28], was based on the analyses conducted with the scope of two specialist theses in Master's course in Science of Conservation of Monuments and Sites at the Raymond Lemaire International Centre for Conservation in KU Leuven (RLICC).
The method used in the research is an impact analysis based on indicators, in which the four pillars of sustainable development are considered as domains on which to measure the impact of Cultural Heritage on the Belgian city. Each domain is divided into sub-domains, chosen on the basis of the international reference literature, which are represented by the possible impact on real estate assets. The subdomains were:
For economic domain: cultural tourism, Jos, maintenance and restoration works, real estate, attracting new investments.
For cultural domain: education civic pride recreation, city revitalisation, quality of life, policy.
For social domain: cultural tourism, social cohesion, education and personal development, quality of life.
For environmental: reduction of emission and pollution, energy efficiency, quality of life.
Further sub-articulation in the sub-domains identified, 37 indicators, following consultation of the stakeholders, examination of the existing data and questionnaires answered by the inhabitants. The methodological structure starts from the question on how to measure the impact on society and on the economy in Mechelen, and is divided into three levels (Figure 2): (1) Macro level: research study at international level; (2) Meso level: study of research at European level; (3) Micro level: the city of Mechelen and application of the method. The first two levels led to the elaboration of the third, the analytical structure (also reworked for the Imperial Fora case) of which is reported below: (1) identification of the possible impact on the city; (2) stakeholder mapping and interviews; (3) definition of indicators on socio-economic impact, carried out on the basis of existing literature and interviews with stakeholders; (4) development of indicators; (5) definition of data search methods; (6) data collection; (7) data analysis. The methodology defines how to structure the impact assessment based on indicators: it requires that we consider the whole and the interaction of all four domains of impact, by structuring the sub-domains, characterised by the intersection of the initial domains.
The method responds to the complexity of decisions related to integrated cultural and natural heritage, due to the multiple-use nature of goods and services provided by the environment, the difficulty in financially evaluating intangible heritage and the involvement of a large number of stakeholders. Multiple perspectives are required to align social and ecological values to promote sustainable solutions for heritage management. In this context, multi-attribute value techniques can be used to summarise stakeholder preferences, as they can accommodate conflicting, multidimensional and incommensurable goals [11,29].
However, it is clear that a robust methodological approach must support an effective decision-making process and policy development: this link has yet to be developed and highlights a radical need for investment if the proclaimed goal is to achieve an integrated political approach to Cultural Heritage. Guidelines for the application of the HACHI are represented by the five strategic recommendations of the CHCfE project, namely: (1) supporting political action on an empirical basis, by promoting a holistic approach to the collection, management and interpretation of data, both quantitative and qualitative, aimed at demonstrating the impact of heritage on the economy, society, culture and the environment in Europe; (2) measuring impacts, identifying and disseminating good practices and introducing the obligation for projects benefiting from EU funds to conduct a holistic impact assessment, which measures impacts in both the short and long term; (3) monitor trends; (4) share and disseminate data; (5) maximise the impact, according to the indications of the programmatic documents of the EU and of Cultural Heritage counts for Europe. Two other key issues were transposed into HACHI, also in view of the Structural Funds beyond 2020 (pre-Covid 19 phase, but which can be reinterpreted in a Next Generation EU key): the first, participatory governance through a process of mapping stakeholders and the detection of their preferences, interests and needs; the second, the specificities of local contexts as a strategic resource for “smart, sustainable and inclusive growth” [9].
To facilitate the connection between the literature review and the SoPHIA model and to address the main gap found in the literature review, a recent paper [30] focused on the relationship among the goals of interventions on CH, the identification and the assessment of their expected or desired impacts.
Recently the European Commission has placed further emphasis on the theoretical-applicative passage from a logic of spending (“it is important to allocate funds for culture”) to one of impact (“it is important to give evidence of the impacts obtained from the interventions”): the SoPHIA project is still accepting these recommendations and moves forward and highlights the importance of the quality of interventions, by focusing on the results expected and achieved, also in terms of legacy.
Case Study: Imperial Fora in Rome (Italy)As already specified, the HACHI Method was tested (and it is a unique case) in the area of the Imperial Fora in Rome (Figure 3). The archaeological site is located in the heart of the city of Rome and is the result of the transformation of its original morphological layout, consisting of the seven hills.
The Imperial Fora were monumental spaces, built at the time of the Roman Empire, between 46 BC and 112 AD. In the centuries that followed, the area of the Fora was filled in due to natural phenomena and human intervention, so much so that in 1500 a built-up area stood on the Fora, the main street of which was Via Alessandrina.
It was in the 19th century that work began on the first excavations, which continue to this day.
The interventions envisaged by the 1931 master plan for the archaeological area, then saw a new phase of transformation that began with the construction of Via dei Fori Imperiali, the road axis connecting Piazza Venezia with the Colosseum and cutting the Imperial Forum complex in two. The archaeological excavations entailed the demolition of part of the district above the Fora [31]. The study looks at the integration between this archaeological site and the urban context. The operation had two main effects: constant excavation sites that limit tourist visits and hinder the understanding of the place; and the demolition of road connections, which had adverse effects on life in the neighbourhood.
This area is extremely complex, due to the historical stratification and, to the presence of tourism which presents some critical issues in terms of sustainability. In addition, archaeological excavations, which started in 1812 and are still ongoing, continue to uncover ancient ruins. The effects of this operation have been, on the one hand, the constant presence of excavation sites that limit the visit of tourists and the understanding of the place, and on the other, the demolition of road connections, beneficial to the life of the neighbourhood.
Until 2017, it lacked a unitary strategic plan that covered the needs of the viability of those who live in the city, an understanding of the place and historical research. This is the reason why Roma Capitale and the Capitoline Superintendence launched a competition for the creation of “The New Archaeological Walk” in 2023.
This paper proposes the application in 2017 of the revisited Holistic Method with the HACHI method, using the indicator-based impact assessment, suggested and tested by the CHCfE report, as illustrated in 2.2 and learned by one of the authors (Irene Aterelli) during an Erasmus Internship in KU Leuven, (Belgium).
In this research—conducted after the COVID-19 emergency—the HACHI Method has been applied to the requalification and use of the Imperial Fora in Rome. The first cognitive approach to the case was taken during the first workshop of a Master’s Degree Accademia Adrianea, subsequently incorporatedinto a master’s thesis [17].
Roma Tre University collaborated in this workshop, leading the working team in the study of the CArMe and the architectural proposal. The most significant issues were: (1) The breadown of the urban fabric near the Monti district, (2) the lack of enhancement of the archaeological ruins, (3) the lack of spatial integration between the archaeological and street levels. The complexity of the case study is such that, in the past, it as has required several proposed approaches to the subject, debating on the role of this area, its difficult interpretation and management strategies.
Among the many evaluation methods to support decision-making, the choice fell on the HACHI Method as it is particularly careful in its incorporation of all the dimensions linked to the process: Methods describes in detail the application phases of the method.
Figure 3. The case study. Source: Cristina Coscia, Irene Aterelli’ elaboration [32].
As mentioned in (Figure 2), the HACHI Method proposes a methodological framework to apply the impact assessment to the Cultural Heritage enhancement scenarios and to support decision-making and strategic processes in the area. The challenge is therefore to try to adapt the HACHI Method (revised version of the Holistic Model) to an ex-ante evaluation of the Imperial Fora Area.
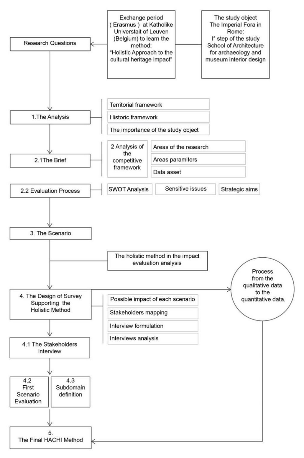
In this research the method is experimented with a comparison of the research questions and the methodological steps applied to the Mechelen case and rethought for the Imperial Fora were compared (Figures 2 and 4). Figure 4 highlights the research design and process of the HACHI framework.
The HACHI framework: step descriptionFigure 4 shows details of the methodological steps of the new framework, redesigned to more effectively identify the measurement scales, the weights, the nature and the structure of the final impact indicators for the case of the Imperial Fora. The process was structured into five macro phases: the first is a preparatory formulation of the scenarios: it starts with the identification of the case (Phase 1—The Analysis), to subsequently address Phase 2—the project Brief, which is further articulated in two phases, the cognitive (Phase 2.1) and the evaluative (Phase 2.2). In particular, the cognitive phase (2.1) furthers the analysis of the competitive framework, the choice of the areas to circumscribe the research, the choice of the parameters and finally the study and the processing of the data. The cognitive phase is followed by the evaluative phase (Phase 2.2): the SWOT. Analysis highlighted the “sensitive issues” of the case study and the strategic goals to be met by each project scenario. The design of scenario formulation follows (Phase 3): the results of phases 1 and 2 supported the identification of four hypotheses for the redevelopment of the site. In Phase 4 the methodological steps leading to the structuring of the impact analysis based on indicators are outlined. Starting from the 4 scenarios of Phase 3, their possible implications have been identified, structuring the contents on which to base the interviews. For identifying the indicators of the HACHI Method, the comparison with the stakeholders was considered necessary (Phase 4.1): the method of semi-structured interviews was applied, involving all areas of impact. Therefore, the interview process reveals the interviewees' opinions on the impacts of the four domains, that can occur following the different project proposals. The results of the interviews provide a first assessment of the scenarios (Phase 4.2) and stress the issues on which the impact analysis can be structured. These themes help to identify those impact sub-domains that intersect multiple domains (Phase 4.3). The final structuring of the HACHI Method (Phase 5) represents the final outcome of the process, the results of which are discussed in Results.
The analysisThis phase involved the design of knowledge based on the data and sources reworked in an information architecture with data updated to 2017.
The Imperial Fora are located in the historical and morphological heart of the city of Rome. This area belongs to an extensive territorial system, called Archaeological-Monumental Park of the Forums and of the Appia Antica (Figure 3) which is strategic, for a series of targets, such as: (a) the enhancement of urban and territorial morphology, (b) the strengthening of “functional characterising identities”, (c) the definition and improvement of the routeing system. In PRGC, it is subdivided into two macro areas: the Appia Antica Regional Park and the Monumental Archaeological Centre of Rome (CArMe), which includes the Circus Maximus, the Palatine, the Colosseum, the Roman Forum, Villa Oppio and the Imperial Fora (see Figure 3).
CArMe constitutes the tip of the territorial system of the Monumental Archaeological Park of the Fora and of the ancient Appia, as well as its inclusion within the urban centre of the city of Rome. Therefore, the archaeological site of the Imperial Fora is to be read as part of a unitary body, which requires any intervention to consider the link with the other parts making up the system.
In the HACHI process, multi-scale analyses were carried out both on the territorial competitive framework (phase 2.1 the Brief) and specific analysis of the area.
A diachronic analysis of the area of the Imperial Fora was conducted, on the historical stratigraphy and main issues. The debate on the case has ancient origins: the construction of Via dei Fori Imperiali changed the topographic, morphological and historical structure of the heart of the city and introduced car traffic between Piazza Venezia and the Colosseum. In the years following this intervention, a debate broke out in relation to the possible removal of the Via dei Fori Imperiali due to the car traffic that polluted and marred the marble. The Fori Project was presented in 1981 within the Curia of the Senate and envisaged the demolition of the Via, to reunite the ancient urban layout [33].
In 2018 the proposal that was about to be approved, in contrast with the Fori Project, was expressed by the Strategic Plan for the CArMe, prepared by the Joint Commission of experts, designated by the MiBACT and by Roma Capitale (Ministerial Decree 12 September 2004).
The briefAs highlighted in Figure 4, this preliminary phase of the HACHI Method (phase 2.1) is divided into sub-phases with some activities being strictly interrelated, but operated on the basis of a clear identification of the territorial areas of analysis and with a reading of the factors of attractiveness and competitiveness factors on some topics and data assets of a “sensitive” nature.
The CArMe has been divided into four research areas (see Figure 5): Imperial Fora, Imperial Fora and Trajan Market, Imperial Fora and Roman Forum System and Central Archaeological Area. For each area, the competitive framework analysis parameters focused on accessibility, ownership and management, tourism, economics, policy, and projects in the area. The target was defining the sensitive data.
Four fundamental parameters were taken into consideration: accessibility to the archaeological site, management, ownership, and tourist presence percentage. Regarding accessibility, in 2017, the Imperial Fora had reduced accessibility as the visit route involved only two of the five Fora. Also, the possibility of visiting was limited to only one day a week. Currently, accessibility has been extended to the whole week thanks to Colosseo-Soprintendenza Memorandum of Understanding (February 2022), allowing the passage of visitors between the two archaeological areas and access indifferently from the ticket offices of the Roman Forum and Palatine, under the Park's jurisdiction, and from those of the Trajan Column, under the jurisdiction of the Capitoline Superintendence.
Unfortunately, the visit route in Imperial Fora visit route remains the same as in 2017: it has not been extended to the visit of the entire forensic area.
Regarding management and ownership, the CArMe is split into two different properties, on one side the State and the other the Municipality of Rome, involving a different economic and tourism management system, although they are part of the same historical and territorial system. An example of this management difficulty is that it took five years to join the Imperial Fora to the Roman Forum and Palatine in the same tourism fruition system.
Regarding tourist presence, from 2012 to 2015 57,826 visitors were registered at the Domus Aurea, 457,222 at the Trajan Market and 23,559,235 at the Colosseum and the Palatine Hill, with average values per month in 2016 of 900 visitors/ month booked and paying and 6000 visitors/month enjoying free admission on Sundays with free access [33,34].
The services needed by tourists are only present inside the archaeological sites and museums, while outside they are lacking. During 2017 it was necessary to have two different tickets, to visit the Imperial Forum and the Roman Forum. The large number of visitors to the Colosseum, Roman Forum and Palatine has made the area around the Colosseum crowded with tourists.
The evaluation processA multiscale SWOT analysis was carried out looking at a series of thematic aspects (accessibility, tourism, management), one on the central archaeological area (SWOT off-site) and then, another one on the Imperial Fora (SWOT on-site). It emerged that the area is easy to reach, but, within the archaeological site the visit route is considerably limited. In 2017 it lacked a unitary strategic plan allowing the possibility to visit the Fora permanently, while also allowing the continuity of archaeological excavations: now, thanks to the Colosseo-Soprintendenza Memorandum of Understanding (2022) a unitary path has been created. Lastly, the split ownership between the Roman Forum and the Imperial Fora makes management of the archaeological area harder, with consequences on the visit and the understanding of the place.
The scenarios and 5.6 the design of survey supporting the holistic methodConsidering the future implementation of the plans envisaged by the municipal administration, the authors had formulated four scenarios based on two main directions (Figure 6): scenarios 1 and 2, which maintain the current image of the Via dei Fori Imperiali; scenarios 3 and 4 which proposes a new image of the Via dei Fori Imperiali [35]. Scenario 1 includes accessibility for a fee to the Imperial Fora and connection with the visit route in the Roman Forum and Palatine Hill (the current situation, which was different in 2017). Scenario 2 provides free access to Imperial Fora, but not to the rest of the archaeological site (which comprises Roman Forum, Palatine, etc.). Scenarios 3 and 4 are similar to 1 and 2, with the difference that in these scenarios a museum, and cultural and civic areas are included under Via dei Fori Imperiali, in order to improve services and spaces for residents and for tourist activities.
The stakeholders interviewThe method of inquiry was a set of semi-structured, in-depth interviews. This is a flexible and commonly used tool for collecting qualitative data and gathering information on the different opinions. The eight stakeholders/experts interviewed were selected by a preliminary mapping: they were interviewed in order to elaborate the different implications of scenarios on the four domains, and compare their opinions. Figure 7 shows a “hybrid” model for mapping the stakeholders involved, focusing on the cluster of experts interviewed: it was in fact structured by integrating the UNESCO model del BAC [36] with the structure of the C.I.A. Method (Community Impact Analysis) by Lichfield [37].
Below is a brief description of the experts interviewed:
Interview 1, FAI Manager for Educational Visits and Initiatives aimed at schools. For the Imperial Forums she is responsible for organising school visits and theatrical performances.
Interview 2, Head of FITEL Lazio, for the promotion of all the associative experiences developed in the areas of the Confederal Company Circles in order to promote leisure activities.
Interview 3, Representative of Residents’ Committee, Monti District.
Interview 4, Representative of the artisans of the Monti district, for the promotion and enhancement of craft and commercial activities in the Monti district.
Interview 5, Architect, participant in the study group led by Professor Architect Luigi Franciosini of the winning project of the Competition of Ideas Piranesi Prize 2016 for the International Call for Redevelopment of Via dei Fori Imperiali.
Interview 6, Head of the Capitoline Superintendence for the Service of Coordination and Monitoring of Economic Resources and Heritage Income. Expert for the management and monitoring of procedures relating to the concession of use and image of heritage assets. Study and management of new partnership procedures with private individuals, aimed at generating resources for routine and special maintenance.
Interview 7, Head of Exhibitions Area for Società Zetema.
Progetto Cultura, Responsible for general coordination of temporary exhibitions, conception, design and realisation.
Interview 7, Head of Exhibitions Area for Società Zetema.
Progetto Cultura, Responsible for general coordination of temporary exhibitions, conception, design and realisation.
Interview 8, Head of the Capitoline Superintendence Imperial for an Office: organisation, archive and documentation direction of archaeological excavations.
For the interview formulations, a first evaluation was conducted on the basis of five strategic targets: accessibility, conservation and enhancement, economy, and tourism. Then, the main topics that emerged from this first scenario evaluation were classified into impact sub-domains. The classification of the sub-domains derives from the “Cultural Heritage Counts for Europe” Project [9].
The semi-structured interview questions were formulated considering the subdomain impacts (Figure 8): (1) for the social domain, the impact on tourism use and the impact of tourists on the area, as well as the impact on residents and their interaction with the place; (2) for the cultural domain, education and therefore the possibility of expanding the cultural offer was considered; (3) for the economic domain, the return on the initial investment was considered both in terms of economic-financial and management profitability, and in terms of social impacts, externality and intangibles. It is necessary to add that in the scenarios in scenarios 3 and 4 one more question was asked, as more significant and costly interventions are involved; (4) for the environmental domain the impacts related to the identity of the place were considered along with perception by residents and users. During the interview an initial explanation of each scenario preceded the relative questions.
For the method of data collection and relative processing using an evaluation approach, two steps were envisaged: the first one translated the descriptive outcomes of the interviews into qualitative evaluation grids with dichotomous measurement scales (presence/absence) and at intervals. The dual nature of the evaluation (qualitative/descriptive and qualitative-quantitative) is consistent with the phases of the process: the qualitative/quantitative evaluation is the first evaluation of the scenarios, while the qualitative/descriptive evaluation was used to identify sensitive issues to be classified into domains and subdomains. The methodological steps of qualitative-quantitative evaluation are dealt with in the following section.
The evaluation process, which constitutes the preliminary phase to the subsequent identification phase of the sub-domains and therefore to the application of HACHI (Methods, Figure 4), presupposes the translation of the relevant contents of the interviews into an elementary grid of detection of the qualitative judgments of the interviewees on each of the four scenarios. This technical moment is instrumental to the sub-domain phase. The interviews return operation envisaged a semi-structuring step thanks to the identification by the authors of two levels of judgment: (1) judgement of the eight interviewees on the level of satisfaction of the four scenarios with respect to the four domains (Figure 9) and the overall judgement of each interview on each scenario (Figure 10) This was made possible by attributing to each answer in each interview a judgement by the authors between positive/neutral/negative. This initial assessment provides an overview of each scenario and allows direct evidence of each respondent's “sensitivity” to the scenarios; (2) a judgment by the eight respondents on the “satisfaction of the strategic targets”. These strategic targets were picked by authors on the basis of recurring themes emerging from the semi-structured interviews (Figure 11). This last synthetic evaluation grid, highlights how each recurring target can be satisfied in each of the four scenarios (e.g., attractiveness for tourists, etc.) according to the opinions of interviewers.
As mentioned in Introduction, the interview survey had adopted an approach inspired by both the Delphi Method [38–41] and the Operational Research models of a multi-criteria nature [42–45], in a simplified form (that can also be applied by non-experts): indeed, the stakeholder mapping phase, preliminary to the start of the interviews, was set up by hybridizing the Lichfield Community Impact Analysis (CIA) approach [37], which highlights “active” and “passive actors, with that of the Delphi method and Operational Research Models which selects the interviewees on the basis of their skills, absolutely strategic to supporting the decision-making phases of the holistic approach. It was to adopt a simple descriptive-qualitative grid, more consistent, albeit reworked, with the model adopted for Mechelen, so as to allow a comparative evaluation of the two cases.
This grid presents a degree of flexibility and synthesis useful for subsequent translation into domains and subdomains according to a representation similar to dashboard models [46–49].
Figure 9. Judgement of the level of satisfaction of the four scenarios for each domain (S social, C Cultural, EC Economic, EN Environmental). Source: by Cristina Coscia, Irene Aterelli. Dot meaning: green positive, yellow Not relevant /neither positive nor negative/ neither totally positive nor totally negative, red negative.
The Figure 9 highlights the opinions of the eight experts on the level of satisfaction for the four scenarios with respect to the four domains of the HACHI holistic method.
The Figure 10 summarises the evaluation of the eight experts who expressed their opinion on the overall coherence of each scenario.
Figure 11 shows the synthetic evaluation grid of how each recurring strategic target can be satisfied in each of the four scenarios, according to interviewers’ s opinions (e.g., attractiveness for tourists, etc.).
The strategic objectives inserted in the left column of the Figure 11 constitute the translation into key objectives of the sensitive issues that emerged in phase 2.2 Evaluation Process (SWOT Analysis > Sensitive Issues > Strategic aims), highlighted in Figure 4 and described in 3.4 The evaluation process. The scenarios subjected to judgment in the interviews (see phase 3 Scenario, Figure 4) took into account how the strategic objectives contained factors attributable to the 4 domains.
Regarding the assessment of the four domains, the following should be noted.
In general, the first scenario received a higher number of positive judgements in every domain: no one domain received a negative evaluation (Figure 10). The topics that emerged from social domain were the fruition of the area both from tourists and residents: the improvement in fruition was due to the access system and the continuity of both areas: Imperial Fora and Roman Forum. Half of the interviewees evaluated this solution positively.
The wider cultural offer is favoured by the site’s unification which guarantees a more complete educational experience (6 out of 8). For the economic domain five out of eight agree on the sustainability of the project due to a cumulative ticket and the reduced cost of the project. From the environmental point of view, for four stakeholders (half of the panel of interviewees) this scenario does not encourage degradation, for the others, this depends on the management of the site. This scenario has been a reality since 2022 thanks to the Colosseo-Soprintendenza Memorandum of Understanding: the impact indicators, that resulting from this research, could be used for an impact assessment ex-post.
The main feature of the second scenario is the free entry to the Imperial Fora: (1) none of the stakeholders appreciated this, as it would have a negative impact on the economic, social, and environmental domains, (2) this represents a threat to the unity of the site. Only one stakeholder positively judged the proposals in social and environmental fields with this solution making it possible to reach more tourists and residents. For the cultural domain, half of them approved: they don’t note many differences compared to the previous scenario.
The scenario 3 did not provoke a clear and dominant opinion among stakeholders: only the cultural domains obtained a positive evaluation (again in the qualitative form of judgment) for the majority (six out of eight), because it could improve the cultural offer. There are two prevalent positions: the unified tour itinerary and the renewed image of the Imperial Fora could have a positive impact on both residents and tourists but, at the same time, other stakeholders point out that significant intervention could compromise the place’s identity.
The last scenario, like the previous one, was well received by stakeholders only in the cultural domain (five out of eight). In the economic, environmental, and social domains, many perplexities regarded the unsustainable costs, the impossibility of managing and controlling the open areas with a high risk of degradation and unbalanced attention towards tourists.
The analysis of the interviews revealed different opinions on the archaeological site, only partly depending on the stakeholders’ role and its involvement in the archaeological site.
The impact of a scenario depends very much on the respondent’s conception of the archaeological site. For some (interview 1), the site of the Forum Imperial Fora does not represent a potential public space, nor can it be understood as a space in which the life of the city is manifested daily. The archaeological site represents “a very rare and precious fabric that cannot be surrendered to unrestricted use”. Another conception proposes the transformation of the archaeological site into a museum, with a propaedeutic structure for the knowledge of the area and the history of the excavations (interview 8).
Scenario 3 is a possible option to achieve this, assuming that the new facilities and structures that would be created would be perfectly integrated into the archaeological context. On the part of the residents interviewed, one does not see a contradiction in conceiving, on an ideal level, the Imperial Fora as a public space, as an urban agora.
However, due to degradation, lack of a sense of civic responsibility and inadequate management of tourist flows that are leading to the disruption of life in the neighbourhood, they consider free access to be incompatible with the city of Rome.
Other interviewees (5, 6 and 7) accepted the hypothesis of free access, even though they highlighted the division that would be created between the Roman Forum and Imperial Fora in scenarios 2 and 4. One of the interviewees (interview 5) proposed to extend the study to the Roman Forum, when it was freely accessible, between 2002 and 2007, and served as an urban thoroughfare and therefore had a strong value for residents.
The results of the interviews created an opportunity to carry out an initial involvement of the population and experts by providing an initial assessment of the scenarios.
The considerations that emerged during the meetings indicated some fundamental issues to be included in the structuring of the impact analysis in support of an enhancement scenario.
The transition to the application of HACHI presupposes the introduction of these themes and the outcomes of the two evaluation processes—previously described—in the form of sub-domains (Figure 12). The sub-domains were chosen among those classified in the CHCfE research, which has the merit of having classified all the impact domains present in European heritage research.
Figure 12 presents the classification of sub-domains elaborated by the authors of the CHCfE project, interrelated to the strategic goals and sensitive topics that emerged from the interviews.
Figure 13 represents the final tab with the indicators on which structure the impact analysis is built, related with sub-domains and domains.
As summarised in Figures 12 and 13, which represent the final results of phase 5 of HACHI (Figure 4), the experimentation with a holistic approach, reworked for the Italian case, outlines a multi-phase process aimed at supporting complex decisions in the strategic phase and attempts to respond to the initial research questions, namely:
(1) how can be made accessible the archaeological site of the Imperial Fora? (2) which are the approach and proper indicators assessment/dashboard to measure the impact of the archaeological area on itself and its context, after the requalification interventions?
One can answer the first question by arguing that in order to make the site accessible and usable four possible solutions have been identified:
Scenario 1: the intervention involves the least number of modifications and leads to the reunification of the Imperial Forum site with the Roman Forum, through the creation of a united and accessible archaeological site with a ticketing system. This scenario was viewed favorably by all respondents as it changes the current situation for the better, although for some of them it is not enough to strengthen the understanding and the identity of the place, which are threatened by mass tourism and the emptying of the historical centre by residents.
Scenario 2: like scenario 1, it proposes the least number of changes but offers free access. This scenario saw general opposition from the interviewees as it caused a division between the Imperial Fora, which is freely accessible, and the Roman Forum, which is accessible for a fee. Furthermore, free accessibility was seen as a threat to the area, even though it could facilitate knowledge of the area and the re-appropriation of this part of the city by residents.
Scenario 3: it proposes the project of architect Luigi Franciosini, which envisages the replacement of Via dei Fori Imperiali with a street-level plate designed to reconnect the urban fabric between east and west and between the archaeological and modern city and for the inclusion of services for tourists and residents connected to the new Colosseum underground station. It proposes free access to the archaeological site of the Imperial Fora in the section below the plate, while the Forensic areas can be visited with ticketed access. This solution was seen by the interviewees as improving the cultural offer of the site and strengthening the image of the Imperial Fora. Not all interviewees agreed with this solution because it is not perceived as improving the quality of life in the area or its image.
Scenario 4: the design of scenario 3 is repeated but with free access to the forensic areas. This proposal was seen by many respondents as worsening the potential threats identified for scenario 3, and only two out of eight respondents considered this scenario to be an improvement from the point of view of the use and live ability of the site.
Contrary opinions emerged from the interviews partly due to mistrust in the site’s management capabilities, partly because of the costs that the management of free access would entail, and lastly because of the consideration (two of the experts interviewed) that the area of the Imperial Fora is not conceivable as a public space and therefore as an area for the daily life of the city. Furthermore, free access to the site of the Imperial Fora would also have to be extended to the Roman Forum, in order to prevent the division between the two areas and to enable the urban connection constituted by the Roman Forum itself.
The themes that emerged from the interviews offered a preliminary ex-ante assessment of the scenarios but also the key themes for identifying sub-domains of impact succeeding in answering the second question, namely which indicators are useful to measure the impact of the proposed scenarios. Indeed, without the contribution of the interviews and, therefore, the involvement of experts and residents' representatives, it would not have been possible to reveal the issues on which the indicator-based assessment should be based in a targeted manner. Nine sub-domains of impact emerged: education, the identity of the place, quality of life, regional attractiveness, cultural tourism, cultural offer, ability to attract investment, return on investment and social capital.
Five of the nine sub-domains involve more than one domain and 28 indicators were identified.
The preferences on the scenarios are based on interviews and on a cross-evaluation between sensitive topics and domains (with related subdomains) but constitute an evaluation framework for a selection phase and not for an ex ante/ex post comparative evaluation.
It is in fact a proposal for a holistic and integrated assessment grid, to be applied in the “exploratory” phase of decision-making processes and envisages a subsequent step of specifying the indicators (and thresholds for reaching the goals) once the scenarios have been selected, with the possibility of re-evaluation by experts. Here the scenarios are proposed in descriptive form and they have been subjected to expert judgments to extrapolate evidence and themes of domains and subdomains, without being tested according to a grid that identifies threshold levels. The results of this first HACHI trial currently constitute the premises for ongoing research development (see Conclusions).
Regarding the initial research questions (1) How can be made accessible the archaeological site of the Imperial Fora? (2) Which are the approach and proper indicators assessment/dashboard to measure the impact of the archaeological area on itself and its context, after the requalification interventions? the research finds out that:
1.
2.
The application of the holistic method in the HACHI version—the first experimentation in Italy—made it possible to formulate some preliminary considerations:
1.
2.
3.
The results of this first HACHI trial currently constitute the premises for this ongoing research development: the design of a dashboard will be in two phases, articulated into (1) Definition of the conceptual framework to organise the contents of the dashboard, consisting in the collection, analysis, and classification of the intrinsic and extrinsic characteristics and (2) Definition of the layout to organise the contents of the dashboard, seen as a collector capable of organising a comprehensive data set—characteristics. [50–52], A monitoring dashboard [53–55] would prove useful both for making scenario choices and for investing funds, as well as in the planning and/or final phase.
The dataset of the study is available from the authors upon reasonable request.
Conceptualization: CC and IA; methodology: CC and IA; validation: CC and IA; formal analysis: CC and IA; investigation: IA; resources: CC and IA; data curation, IA; writing—original draft preparation: CC and IA; writing—review and editing: CC and IA; visualization, IA; supervision; CC and IA. All authors have read and agreed to the published version of the manuscript.
The authors declare that there is no conflict of interest.
We would like to thank Professor Koen Van Balen for his invaluable guidance and support throughout the first cognitive approach to the case during the master's thesis. I am also grateful to Professor Roberta Novascone, for her technical expertise and contribute in the construction of the interviews structure. Lastly, I would like to acknowledge the study participants who generously shared their time and insights.
1.
2.
3.
4.
5.
6.
7.
8.
9.
10.
11.
12.
13.
14.
15.
16.
17.
18.
19.
20.
21.
22.
23.
24.
25.
26.
27.
28.
29.
30.
31.
32.
33.
34.
35.
36.
37.
38.
39.
40.
41.
42.
43.
44.
45.
46.
47.
48.
49.
50.
51.
52.
53.
54.
55.
Coscia C, Aterelli I. The “Holistic Approach to the Cultural Heritage Impact Method” (HACHI Method) as a Method for Indicator-Based Impact Analysis: An Application to the Case of Imperial Fora in Rome (Italy). J Sustain Res. 2024;6(2):e240015. https://doi.org/10.20900/jsr20240015

Copyright © 2023 Hapres Co., Ltd. Privacy Policy | Terms and Conditions